2、现有一投资组合,投资组合的贝塔值为2,投资组合的收益与市场协方差为8,市场收益率标准差为 ()。
A.2
B.4
C.6
D.1
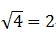
所以市场收益的方差=8/2=4,标准差的平方=方差,标准差=
3、A股票属于B指数的成分股,在2017年一季度中B指数上涨15%,A股票上涨18%,二季度B指数上涨3%,A股票上涨8%;三季度B指数下跌9%,A股票下跌10%;四季度B指数下跌1%,A股票下跌1.5%。以上数据表明( )。
A.A股票的β系数大于1
B.A股票的β系数小于1(大于0)
C.A股票的β系数等于1
D.A股票的β系数小于0
β系数小于0 时, 该投资组合的价格变动方向与市场相反。
β系数等于1 时 ,该投资组合的价格变动 幅度与市场一致;
β系数大于1 时 ,该投资组合的价格变动幅度比市场更大;
β系数小于1 (大于0 )时 ,该投资组合的价格变动幅度比市场小。
综上,该题选A。
更多基金从业《证券投资基金》新教材精选试题可进入233网校APP--基金从业--题库--章节习题进行冲刺巩固。也可添加基金学霸君企业微信,拉你进考试刷题群!
扫码加学霸君企微,进考试刷题群↓↓

基金历年考试真题及答案
| 基金历年真题答案 | 在线估分 | 真题PDF下载 |
| 基金法律法规历年真题答案 | 在线估分 | 真题PDF下载 |
| 证券投资基金历年真题答案 | 在线估分 | 真题PDF下载 |
| 私募股权投资历年真题答案 | 在线估分 | 真题PDF下载 |
大家也可以直接下载233网校APP进入题库刷题,体验更佳!已经下载233网校APP的可以直接选择“基金从业”--“题库”进行在线刷题。包含科目有基金法律法规、证券投资基金、私募股权投资基金科目试题。试题类型包括章节练习、章节真题、模拟试卷、历年真题、错题集、考前点题等,如果刷题太无聊还可以参加答题闯关,边做题边拿奖!

(题库界面如上所示)
中国证券投资基金业协会不会公布基金从业考试真题及答案。如果大家想知道基金从业考题情况,可以在考后来233网校估分对答案、看考情!233网校将在每次考后收集整理考试真题答案解析,欢迎各位考生们考后来分享试题,专业老师将为您解答试题答案!现在大家可以提前预约估分提醒。
👇👇下方扫码,进入基金考试真题估分👇👇






















