什么是一级建造师考前10页纸?
考前10页纸是233网校为一级建造师冲刺阶段的考生准备的,归纳一级建造师考试常见、常考精华重点。冲刺的紧要关头,临门一脚,不考的不学,归纳的全学会,考前狂背10页纸!尤其是知识掌握还不牢靠的同学,需要再拼一拼!立即下载,打印,狂背!真的只能帮到这里了!【点击免费下载一建考前10页纸>>】
2019一级建造师《建设工程经济》考前10页纸
1Z101000 工程经济
1、影响资金时间价值的因素:资金使用的时间(正比);数量的多少(正比);投入和回收特点(早收晚付);周转速度(正比)。 P1
2、利率的影响因素:①社会平均利润率(最高,首先取决于);②借贷资本的供求状况③借出资本的风险④通货膨胀;⑤借出资本期限长短。 P2-3
3、利息的计算:(1)单利(利不生利)F=P(1+n×i);(2)复利(利生利)F=P(1+i)n
4、现金流量图绘制要点:图上每条线、每个点、每个标识的概念及涵义。
现金流量的三要素:①现金流量的大小(现金流量数额);②方向(现金流入或现金流出);③作用点(现金流量发生的时点)。P5-6
5、等值计算P6-9

注意:①各期的等额支付A发生在各期期末;②终值F与最后一期的A同期发生;③当问题包括P与 A时,P与第一期的A要相隔一期。
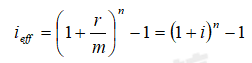
6、名义利率与实际利率的计算 P11-13
计息周期有效利率:i=r/m;
资金收付周期有效利率/实际利率

当计息周期小于(或等于)资金收付周期时,有两种计算方法。①按收付周期实际利率计算;②按计息周期利率计算。注意:对于等额支付的系列现金流量计算只有计息周期与资金收付周期一致时,才能按计息周期利率计算;否则,只能按收付周期的实际利率计算。
7、经济效果评价是对技术方案的财务可行性和经济合理性进行分析论证,为选择技术方案提供科学的决策依据。对于经营性项目,主要分析项目的盈利能力、偿债能力、财务生存能力;对于非经营性项目,主要分析财务生存能力。 P15
8、经济效果评价指标体系 P19图1Z101022
9、投资收益率分析 P19-20
①总投资收益率=年息税前利润/总投资×100%
年息税前利润=年利润润总额+计入年总成本费用的利息费用
总投资=建设投资+建设期贷款利息+全部流动资金
②资本金净利润率=年净利润/资本金×100%
年净利润=利润总额-所得税;资本金=总投资-债务资金
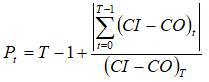
10、投资回收期分析 P22
当技术方案实施后各年的净收益(即净现金流量)
(1)均相同时:
(2)均不同时:求累计净现金流量为零所对应年份

Pt=(累计净现金流量首次出现正值的年份-1)+(T-1 年累计净现金流量的绝对值)/(T 年当年净现金流量)
··· ···
查看完整版,可免费下载一级建造师《建设工程经济》考前10页纸,点击下载>>


























