一级建造师考试什么难?实务!!一门实务所需花费的时间可能比三门公共课加起来还要多。众所周知,通过实务考试就相当于拿下了一建。
很多考生都是谈实务色变,首先就来看看实务怎么考?难又难在哪?
题型 | 题量 | 总分值 |
单选题 | 20道 | 20分 |
多选题 | 10道 | 20分 |
案例分析题 | 5道(3+2) | 120分 |

那么,又该如何备考实务,才能顺利通过考试呢?下面给大家分享三个月成功备考一建实务的心得体会,供大家借鉴参考。
一、第1个星期,抄真题找规律
把近4年的真题拿出来,对照答案浏览一遍,其中案例分析题的答案要手抄一遍,抄完一遍真题答案后,自然会看出一些出题的规律。比如选择题多半分布在第一个章节,而案例分析题几乎都集中在第二个章节,其中每年都会考到的内容有:网络计划、工期索赔、安全事故、质量事故、合同、施工技术等。这就是重者恒重的规律了。

二、第2-6个星期,精讲课程听全听细,遇到问题及时解决,不留疑问
1、选老师。得精讲者得实务,实务精讲班的课程是很重要的,所以这个阶段选对老师也是很重要的。首先通过试听选择一个容易带动自己情绪,让自己舒服和信服的老师,然后认真听完他的所有精讲班课程。我当时选择的是李立军老师,他的第一节课是分析实务考试的教材章节、难度以及答题技巧等,让我受益匪浅,听完一节课就有种豁然开朗的感觉。
2、方法上。精讲班的学习上,我是照着这个步骤来的

这个过程中碰到问题,要能发问,勤发问!这一点上,233网校的8小时答疑功能就很贴心实用了,在发问后8小时内就可以收到老师的问题详解,再也不用花费大量的时间去四处搜索答案,还怕找到的答案不准确,让自己走弯路。
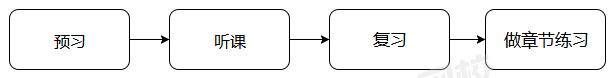
在精讲阶段,预习必不可少,它可以提高你听课的效率。听课过程中,要认真听讲,做好笔记,如果时间不充裕,可以调节听课倍数至1.2。复习的时候,老师没说到的地方自己也要通读一遍,老师划书的地方要着重理解并记忆。之后再利用每天的碎片时间在APP上做章节练习和每日一练,对所学的知识进行练习和巩固。精讲课程总共花了5个星期时间才完成,虽然耗时比较久,但是经过这个阶段的学习,对教材已经从完全陌生到认识,再到相对熟悉了。
三、第7-9个星期,做真题听冲刺背考点“三同时 ”
跟随课程开始进入冲刺阶段。这个阶段按这三个步骤轮流进行

1、把近4年的真题再拿出来做一遍。此时选择题基本能拿二三十分左右,案例分析很多题目看着熟悉,可是做起来还是不太顺手。这时候答不出来的也尽量做到能写出关键词,而后再参考正确答案。
2、做完真题后每天晚上开始学习冲刺班的课程,早上早起一个小时用来朗读真题答案和背诵老师划书的内容。到第9个星期结束,教材基本已经通读3遍以上,重要知识点通读加背诵也能有近十遍了。
四、第10-11个星期,专攻案例,勤加练习、攻坚克难
把复习的主要任务放在案例专项班的学习上,提高自己的答题技巧,同时也加强对案例常考点的背诵记忆。案例分析题的题型分为以下三类
计算分析题 | 1、占分20%左右; 2、分值多且比较容易,学会了基本能拿满分,要求做到熟练掌握; 3、例如:流水节拍、工期、工程价款的计算等。 |
是非判断题 | 1、占分30%左右; 2、分值多,难度较小。这部分要学会把握采分点和答题技巧; 3、例如:“指出施工员安全作业交底中的不妥之处,并写出正确做法。” |
文字解答题 | 1、占分50%左右; 2、分值多,难度较大,有部分超纲题。要做好这部分的题,就需要复习中对重要内容着重理解和背诵。 3、例如:“墙体节能工程隐蔽工程验收的部位或内容还有那些?” |
其中计算分析题要争取拿满分,是非判断题要争取少失分,文字解答题要争取多得分。
五、第12个星期,背诵点题资料,锦上添花
1、复习已经到了一定高度,这时候把那些点题资料拿过来看,会发现很多都是会的,稍微背诵带过即可。看到不会的就把它划到教材上,继续背,也花不了多少时间。如果有时间,多背些考前点题资料,重叠部分加强背诵。
2、考前一天再快速通读教材一遍,加深记忆。
复习讲究循序渐进,切不可虎头蛇尾。要抱着必过的决心,而不能抱着想要通过或可能通过的想法。尤其是对于将来想要从事项目负责、技术负责的人来说,一建是你的敲门砖也是你的砝码。近两年来受政策影响,作废了很多证书,18年、19年和20年可以说是考取一建证书的黄金三年,就看谁能把握住时机了。
实务教材四百多页,知识点又多又杂,自学难度很大。经验不足、时间有限或是自控力不好的人都建议报班学习,有老师的带领,重难点分明,学习起来事半功倍。233网校针对各类型考生,开设了“退费班”、“取证班”和“套餐班”三个班次,大家可以根据自己的情况合理选择适合自己的,争取更快更稳地拿下一建考试。


























