非节奏流水施工考点解析
非节奏流水施工介绍
2.非节奏流水施工
(1)基本特点。非节奏流水施工具有以下特点:
①各施工过程在各施工段上的流水节拍不全相等;
②相邻施工过程的流水步距不尽相等,
③专业工作队数等干施工过程数;
④各专业工作队能够在施工段上连续作业,但有的施工段之间可能有空闲时间。
410.05KB
下载
539.84KB
下载
567.87KB
下载
473.51KB
下载
532.85KB
下载
531.01KB
下载
482.31KB
下载
563.77KB
下载
550.25KB
下载
514.28KB
下载
484.98KB
下载
277.97KB
下载正确答案: A
答察解析: - A. 各专业工作队能够在施工段上连续作业,但有的施工段之间可能有空闲时间
- 这是正确的描述。在非节奏流水施工中,各专业工作队可以在其负责的施工段上连续作业,但由于流水节拍不全相等,相邻施工过程之间的流水步距也不尽相等,因此可能会出现某些施工段之间的空闲时间。
- B. 同一施工过程的流水节拍不全相等,从而使专业工作队有时无法连续作业
- 这个描述不完全正确。虽然同一施工过程的流水节拍不全相等,但在非节奏流水施工中,各专业工作队仍然能够在各自负责的施工段上连续作业,只是相邻施工过程之间的流水步距不尽相等。
- C. 相邻施工过程的流水步距不全相等,从而使专业工作队数大于施工过程数
- 这个描述不正确。在非节奏流水施工中,专业工作队数等于施工过程数,而不是大于施工过程数。
- D. 虽然在施工段上没有空闲时间,但有的专业工作队有时无法连续作业
- 这个描述不正确。在非节奏流水施工中,各专业工作队能够在施工段上连续作业,但可能存在施工段之间的空闲时间。
综上所述,正确答案是A。非节奏流水施工的特点之一是各专业工作队能够在施工段上连续作业,但有的施工段之间可能有空闲时间。
正确答案: C
答察解析: 本题考查的是流水施工工期的确定。
(1)求各施工过程流水节拍的累加数列:
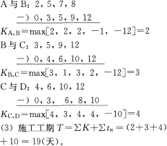
施工过程A:2,5,7,8
施工过程B:3,5,9,12
施工过程C:4,6,10,12
施工过程D:3,6,8,10
(2)错位相减求得流水步距:

正确答案: C
答察解析: 首先,根据累计数列错位相减取大差,求相邻施工过程流水步距:
开挖施工过程累加数列:3、7、9、15
浇筑施工过程累加数列:4、6、12、20
回填施工过程累加数列:2、5、12、21
相邻施工过程错位相减取大差,得到流水步距分别为:3天和8天。
最后,根据T=∑K+∑tn+∑z-∑c=3+8+21=32天。
故本题选C。
正确答案: B
答察解析: 施工过程流水节拍的累加数列:
施工过程1:2,6,9,13
施工过程2:3,8,12,17
错位相减求差:
2,6,9,13
- 3,8,12,17
2,3,1,1,-17
故施工过程1和2的流水步距为K=max{2,3,1,1,-17}=3天
施工工期为3+3+5+4+5=20。
1)依次施工
是一种最基本、最原始的施工组织方式。
(1)没有充分利用工作面进行施工,工期较长;
(2)如按专业组建工作队,则各专业工作队不能连续作业,工作出现间歇,劳动力和施工机具等资源无法均衡使用;
(3)如果由一个工作队完成全部施工任务,则不能实现专业化施工,不利于提高劳动生产率和工程质量;
(4)单位时间内投入劳动力、施I机具等资源量较少,有利于资源供应的组织;
(5)只有一个工作队进行施工作业,施I现场的组织管理比较简单。
2)平行施工
(1)能够充分利用工作面进行施工,工期短;
(2)如果每一施工对象均按专业组建工作队,则各专业工作队不能连续作业,工作出现间歇,劳动力和施工机具等资源无法均衡使用;
(3)如果由一个工作队完成一个施工对象的全部施工任务,则丕能实现专业化施工,不利于提高劳动生产率和工程质量;
(4)单位时间内投入的劳动力、施工机具等资源成倍增加,不利于资源供应的组织;
(5)有多个专业工作队在现场施工,施工现场组织管理比较复杂。
3)流水施工
(1)尽可能利用工作面进行施工,工期较短;
(2)各工作队实现专业化施工,有利于提高施I技术水平和劳动效率,也有利于提高工程质量;
(3)专业工作队能够连续施工,同时使相邻专业工作队之间能够最大限度地进行搭接作业;
(4)单位时间内投入的劳动力、施工机具等资源较为均衡,有利于资源供应的组织;
(5)为施工现场的文明施工和科学管理创造了有利条件。
2.流水施工的表达方式(横道图+垂直图)





1.有节奏流水施工
1)等节奏流水施工
(1)基本特点
①所有施I过程在各个施工段上的流水节拍均相等;
②相邻施I过程的流水步距相等,且等于流水节拍;
③专业工作队数等于施工过程数,即每一个施工过程组建一个专业工作队;
④各专业工作队在各施工段上能够连续作业,施工段之间没有空闲时间。
(2)流水施工工 期的计算
T=(m+n-1) K
1)等节奏流水施工(有组织间歇、提前插入)

2)异节奏流水施工
(1)异节奏流水施工方式。
①等步距异节奏流水施工(成倍节拍流水施工)。
②异步距异节奏流水施工。
(2)加快的成倍节拍流水施工特点。
(2)加快的成倍节拍流水施工特点。
①同一施工过程在各个施工段上的流水节拍均相等;同施工过程的流水节拍为倍数关系。
②相邻施工过程的流水步距相等,且等于流水节拍的最大公约数。
③专业工作队数大于施工过程数。对于流水节拍大的施工过程,可按其倍数增加相应专业工作队数目。
④各专业工作队在施I段上能够连续作业,施工段之间没有空闲时间。
(3)流水施工工期的计算
计算公式为:

K—— 流水步距,取各施工过程流水节拍的最大公约数;
N——参加流水作业的专业工作队数。
其他符号同前。
2.非节奏流水施工
(1)基本特点。非节奏流水施工具有以下特点:
①各施工过程在各施工段上的流水节拍不全相等;
②相邻施工过程的流水步距不尽相等;
③专业工作队数等于施工过程数;
④各专业工作队能够在施工段上连续作业,但有的施工段之间可能有空闲时间。
1)依次施工
是一种最基本、最原始的施工组织方式。
(1)没有充分利用工作面进行施工,工期较长;
(2)如按专业组建工作队,则各专业工作队不能连续作业,工作出现间歇,劳动力和施工机具等资源无法均衡使用;
(3)如果由一个工作队完成全部施工任务,则不能实现专业化施工,不利于提高劳动生产率和工程质量;
(4)单位时间内投入劳动力、施I机具等资源量较少,有利于资源供应的组织;
(5)只有一个工作队进行施工作业,施I现场的组织管理比较简单。
2)平行施工
(1)能够充分利用工作面进行施工,工期短;
(2)如果每一施工对象均按专业组建工作队,则各专业工作队不能连续作业,工作出现间歇,劳动力和施工机具等资源无法均衡使用;
(3)如果由一个工作队完成一个施工对象的全部施工任务,则丕能实现专业化施工,不利于提高劳动生产率和工程质量;
(4)单位时间内投入的劳动力、施工机具等资源成倍增加,不利于资源供应的组织;
(5)有多个专业工作队在现场施工,施工现场组织管理比较复杂。
3)流水施工
(1)尽可能利用工作面进行施工,工期较短;
(2)各工作队实现专业化施工,有利于提高施I技术水平和劳动效率,也有利于提高工程质量;
(3)专业工作队能够连续施工,同时使相邻专业工作队之间能够最大限度地进行搭接作业;
(4)单位时间内投入的劳动力、施工机具等资源较为均衡,有利于资源供应的组织;
(5)为施工现场的文明施工和科学管理创造了有利条件。
流水施工的表达方式(横道图+垂直图)



拒绝盲目备考,加学习群领资料共同进步!

免费听
赵春晓
幽默风趣,思维导图总结精彩,考点层次分明。
主讲:安全生产管理,建设工程施工管理,建设工程项目管理
233网校一级建造师《项目管理》、二级建造师《施工管理》独家签约网课老师。某“双一流、211”高校副研究员、硕导,国家一级注册建造师、造价师。

免费听
王东兴
灵魂导师
主讲:建设工程法规及相关知识,建设工程法规及相关知识,安全生产法律法规
管理学硕士,国家注册一级建造师,多年从事教育行业,主攻工程经济、项目管理、企业管理方向。

免费听
董航
主讲:建设工程经济
曾任中建一局集团项目执行经理,多年现场经验,对施工现场生产管理、现场安全、施工技术非常熟悉,在一级建造师、注册安全工程师执业资格考试方面,有丰富的教学经验,更有其独特的培训风格,其地毯式培训教学,准确打击知识点,每年都会帮助广大学员顺利取证。

免费听
江凌俊
口诀一绝
主讲:目标控制(土木建筑),进度控制(水利),建筑施工安全,建筑工程管理与实务,建筑工程,建筑施工安全
曾在设计院任职,线上线下多年培训行业从业经历。

免费听
胡宗强
主讲:市政公用工程
从事建造师培训多年。经验丰富,命题方向把握准确。

免费听
黄明峰
封“神”级老师
主讲:消防安全技术综合能力,消防安全技术实务,消防安全技术综合能力,消防安全案例分析,安全生产技术基础,建设工程项目管理
主要从事一级消防工程师、中级安全工程师等考试培训。
专业智能,高效提分
章节练习
章节专项突破
进入做题
精选试题
省时高效精选
进入做题
模拟考场
海量题免费做
进入做题
考前点题
高效锁分72小时
进入做题
每日一练
每天进步一点点
进入做题
历年真题
真题实战演练
进入做题
易错题
精选高频易错题
进入做题
模考大赛
同场闯关做题
进入做题
APP刷题神器
模考大赛
考点打卡
做题闯关

扫描二维码 下载233网校APP刷题
微信扫码关注公众号
获取更多考试资料