2、下列关于峰度的表述,说法错误的是()。
A.峰度是用来度量一组数据分布的陡峭或者平坦程度
B.峰度又称峰态系数
C.当峰度等于零时,数据呈标准正态分布
D.当峰度小于零时,数据呈尖峰分布,数据分布较集中
4、下列关于数据的位次指标,说法正确的是()。
A.四分位数和四分位差是数据的位次指标
B.计算四分位数时,首先要确定数据中数值的位次,然后根据位次得出相应数值
C.四分位差反映了一组数据中间50%数值的离散情况
D.四分位差的数值越小表明该部分数据分布越不集中,离散程度越深
期货从业备考刷题群
添加期货从业学霸君企业微信,拉你进备考刷题群,在考试的各阶段,全程陪伴你备考。
期货从业学霸君企业微信,扫码添加↓↓

期货投资分析历年真题
期货投资分析历年真题哪里有?期货从业考试历年真题,可通过以下方式查看、刷题或者下载:
方式一:打开【233网校APP】,选择【期货从业】,进入【题库】,找到【历年真题/真题估分】即可查看期货投资分析历年真题。
方式二:微信进入【233网校金融类考证题库小程序】,选择【期货从业】,首页找到【历年真题/真题估分】即可查期货投资分析看历年真题。
方式三:点击进入【233网校期货从业在线题库】,找到【历年真题】,即可查看期货投资分析历年真题。
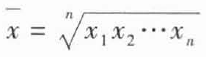
是()的计算公式。
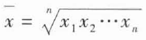
是几何平均数的计算公式。

























