家庭评估的常用方法考点解析
家庭评估的常用方法介绍
家庭评估的常用方法
(1)家庭结构图是图形方式表示家庭结构、家庭成员之间的关系以及家庭的一些重要事件等。
(2)家庭结构图绘制遵循3项原则:一是长辈上,晚辈下;二是同辈关系中,年长左,年幼右;三是夫妻关系中,男左,女右。
323.20KB
下载
266.09KB
下载
299.36KB
下载
275.19KB
下载
261.96KB
下载
297.42KB
下载
265.24KB
下载
345.32KB
下载
337.34KB
下载
307.89KB
下载
332.95KB
下载
165.12KB
下载
正确答案: C
答案解析: 本题考查家庭评估的常用方法。家庭结构图的概念就是用图形方式来表示家庭的结构、家庭成员之间的关系以及家庭的一些重要事件等,在家庭评估中,社会工作者常用其作为评估的工具。
正确答案: D
答案解析: 家庭结构图的绘制遵循3项基本原则:一是长辈在上,晚辈在下(AC选项错误);二是同辈关系中,年长的在左,年幼的在右;三是夫妻关系中,男的在左,女的在右(B选项错误)。
用排除法可知,D选项正确。
正确答案: A
答案解析: 本题考查的是家庭社会工作的常用方法之家庭评估的方法。家庭结构图是社会工作者常用的家庭评估工具。家庭结构图的绘制遵循三项基本的原则:一是长辈在上,晚辈在下;二是同辈关系中,年长的在左,年幼的在右;三是夫妻关系中,男的在左,女的在右。
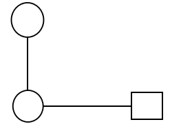
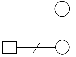
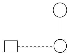
在家庭结构图中,□表示男性,○表示女性,— —表示婚姻关系,一//—表示离婚关系,— /—表示分居关系,--------表示同居关系。
依据题干描述是张霞与男友同居,故用虚线表示二者的关系,可以排除BCD选项。
故答案为A选项。
正确答案: A
答案解析: 在家庭结构图中:□表示男性,○表示女性,——表示婚姻关系,一//一表示离婚关系,一/一表示分居关系,------表示同居关系。
家庭结构图的绘制应遵循三项基本的原则是:①长辈在上,晚辈在下;②同辈关系中,年长的在左,年幼的在右;③夫妻关系中,男的在左,女的在右。
题目中的家庭结构图表明的是一个32岁的离婚女性带着一个8岁的女儿,故选A选项。
BCD为干扰选项。
家庭社会工作的基本原则
1、家庭处境化原则
社会工作者在观察和评估家庭成员的需求时,把家庭成员放在家庭的日常生活中。
2、家庭成员增能原则
假设每个家庭成员都有自己解决困难的能力,增强家庭成员克服困难的能力,提高自信心和独立性。
3、家庭个别化原则
直接从受助家庭的日常生活处境出发,准确评估受助家庭成员的要求。
4、家庭成员需求满足原则
既关注受助家庭成员目前需要,也关注受助家庭成员的长远要求。
家庭社会工作的实施步骤
1、接触阶段:社会工作者与受助家庭成员初次见面,评估受助家庭成员需求,并与受助极爱他那个成员建立初步信任合作关系的阶段。
2、开始阶段:与受助家庭成员建立稳定合作关系、全面评估受助家庭成员的问题以及明确服务介入的目标和基本要求。
3、介入阶段:明确专业角色,运用专业技巧影响受助家庭成员,协助家庭成员解决面临的问题。
4、结束阶段:与受助家庭成员协商服务结束事项以及总结和巩固整个服务活动的发展。
家庭社会工作常用方法
1、家庭评估的常用方法
(1)家庭结构图是图形方式表示家庭结构、家庭成员之间的关系以及家庭的一些重要事件等。
(2)家庭结构图绘制遵循3项原则:一是长辈上,晚辈下;二是同辈关系中,年长左,年幼右;三是夫妻关系中,男左,女右。
2、家庭干预的常用技巧
(1)观察技巧:运用系统记录实际行为表现的强度、频率和时间方式。
(2)聚焦技巧:收窄注意的焦点,将受助家庭成员的注意力集中在需要解决的问题上。
(3)例子使用技巧:向受助家庭成员解释、描述和传递重要的信息和想法。
(4)再标签技巧:从更为积极的角度界定问题,改变受助家庭成员以往的消极态度和认识。
3、家庭社会工作的常用形式
专题讲座、主题沙龙、社区活动
接触阶段:社会工作者与受助家庭成员初次见面,评估受助家庭成员需求,并与受助极爱他那个成员建立初步信任合作关系的阶段。
开始阶段:与受助家庭成员建立稳定合作关系、全面评估受助家庭成员的问题以及明确服务介入的目标和基本要求。
介入阶段:明确专业角色,运用专业技巧影响受助家庭成员,协助家庭成员解决面临的问题。
结束阶段:与受助家庭成员协商服务结束事项以及总结和巩固整个服务活动的发展。
家庭干预的常用技巧
(1)观察技巧:运用系统记录实际行为表现的强度、频率和时间方式。
(2)聚焦技巧:收窄注意的焦点,将受助家庭成员的注意力集中在需要解决的问题上。
(3)例子使用技巧:向受助家庭成员解释、描述和传递重要的信息和想法。
(4)再标签技巧:从更为积极的角度界定问题,改变受助家庭成员以往的消极态度和认识。
家庭社会工作的常用形式:
(1)专题讲座;
(2)主题沙龙;
(3)社区活动。
拒绝盲目备考,加学习群领资料共同进步!

免费听
刘晓晨
社工女神
主讲:初级社会工作综合能力,初级社会工作实务,中级社会工作综合能力,中级社会工作实务,高级社会工作实务
中国人民大学硕士,社会工作师、心理咨询师,曾四次担任Ja(国际青年成就)大学生事业起航课程团队队长,在《社会福利》、《中国社会报》、《中国妇女报》、《中国发展简报》等报刊杂志发表专业文章20余篇。议题包括:儿童权利、社区发展、社会性别、NGO倡导等。

免费听
刘战旗
案例讲解透彻
主讲:中级社会工作实务
社会工作专业硕士,高校社会工作副教授,多年社会工作专业教学、科研经验。

免费听
何平
干货十足
主讲:中级社会工作法规与政策
北京某知名大学副教授、南开大学周恩来政府管理学院社会政策与社会工作专业博士、美国夏威夷大学社会工作学院访问学者。

免费听
马海燕
一听就懂
主讲:初级社会工作综合能力
高校高级教师,社会工作师,多家社工机构督导,发表专业论文近30篇。参与北京市级、区级政府购买服务项目二十余项,近年来每年均参与北京市社工师资格考试辅导与各类社工项目评审、社区社工入职培训以及社区后备干部招录的笔试面试工作。

免费听
徐龙超
技巧好记实用
主讲:初级社会工作实务,初级社会工作综合能力,中级社会工作综合能力
暨南国际大学社会工作博士、中级社会工作师,心理咨询师。曾任某高校社区管理与服务专业教研室主任,曾荣获民政部职业院校社工职业技能竞赛优秀指导老师,广东百名社工督导团成员,惠州市社会组织评估专家库成员。

免费听
杨立伟
人帅课精彩
主讲:公共基础知识,中级社会工作法规与政策,公共基础知识
233网校独家授课老师,曾任职多家公考类教育机构从事专职讲师,主讲社工、公共基础知识,政法干警文综等课程。
专业智能,高效提分
章节练习
章节专项突破
进入做题
精选试题
省时高效精选
进入做题
模拟考场
大量题免费做
进入做题
考前点题
高效锁分72小时
进入做题
每日一练
每天进步一点点
进入做题
历年真题
真题实战演练
进入做题
易错题
精选高频易错题
进入做题
模考大赛
同场闯关做题
进入做题
APP刷题神器
模考大赛
考点打卡
做题闯关

扫描二维码 下载233网校APP刷题
微信扫码关注公众号
获取更多考试资料