单代号网络计划时间参数的计算考点解析
单代号网络计划时间参数的计算介绍
单代号网络计划时间参数的计算
(1)计算最早时间:从左向右,顺着箭头方向计算。
最早开始时间=Max(紧前工作最早完成时间)
最早完成时间=最早开始时间+工作持续时间。
(2)计算时间间隔:时间间隔=紧后工作最早开始时间-本工作最早完成时间。
(3)计算自由时差:自由时差=Min(时间间隔)。
(4)计算总时差:
总时差=Min(与紧后工作的时间间隔+紧后工作总时差);
总时差=Min(后续线路时间间隔之和的最小值)。
(5)寻找关键线路:自始至终时间间隔都为0的线路。
正确答案: B
答察解析: 非终点节点的其他工作的自由时差等于本工作与其紧后工作之间时间间隔的最小值,FF=Min{3,2}=2天。
正确答案: B
答察解析: 关键工作的总时差=计划工期-计算工期=11-10=1个月
正确答案: A
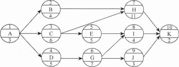
答察解析: 单代号网络计划可以利用相邻两项工作之间的时间间隔来判定关键线路。即从网络计划的终点节点开始,逆着箭线方向依次找出相邻两项工作之间的时间间隔为零的线路就是关键线路。
关键线路为A→C→G→I→K 和 A→C→H→K。
1.虚工作
虚工作既不消耗时间,也不消耗资源,表达相邻两项工作之间的逻辑关系。
2.关键工作
(1)总时差最小的工作,就是关键工作。
(2)当计划工期等于计算工期时,总时差为0的工作,就是关键工作。
(3)关键线路上的工作一定是关键工作,但关键工作不一定只在关键线路上。
3.关键节点
(1)关键工作两端的节点一定是关键节点,两端为关键节点的工作,不一定是关键工作。
(2)关键线路上的节点一定是关键节点,但关键节点组成的线路不一定是关键线路
(3)当计划工期等于计算工期时,以关键节点为完成节点的工作,其总时差和自由时差必然相等。
4.关键线路
|
|
时标 |
双代号 |
单代号 |
搭接 |
|
总时间最长的线路 |
√ |
√ |
√ |
|
|
关键工作组成的线路 |
√ |
√ |
|
|
|
没有波形线的线路 |
√ |
|
|
|
|
时间间隔始终为“0”的线路 |
|
|
√ |
√ |
双代号网络计划求解
(1)计算最早时间:从左向右,顺着箭头方向计算。
最早开始时间=Max(紧前工作最早完成时间)。
最早完成时间=最早开始时间+工作持续时间。
(2)计算最迟时间:从右向左,逆着箭头方向计算。
令计划工期等于计算工期,以终点节点为完成节点的工作,最迟完成时间为计划工期。
最迟完成时间=Min(紧后工作最迟开始时间)。
最迟开始时间=最迟完成时间-工作持续时间。
(3)计算总时差:总时差=最迟完成时间-最早完成时间。(最迟开始时间-最早开始时间)
(4)计算自由时差:自由时差=Min(紧后工作最早开始时间-本工作最早完成时间)。
(5)寻找关键工作:关键工作总时差最小。
(6)寻找关键线路:关键工作首尾相连,组成关键线路。
(一)工作持续时间和工期
1.工作持续时间
工作持续时间是指一项工作从开始到完成的时间。在双代号网络计划中,工作 i的持续时间用 D-表示;在单代号网络计划中,工作的持续时间用D表示。
2.工期工期泛指完成一项任务所需要的时间。在网络计划中,工期一般有以下三种(1)计算工期。计算工期是根据网络计划时间参数计算而得到的工期,用T表示(2)要求工期。要求工期是任务委托人所提出的指令性工期,用 T表示。
(3)计划工期。计划工期是指根据要求工期和计算工期所确定的作为实施目标的工期。
除工作持续时间外,网络计划中工作的六个时间参数是:最早开始时间、最早完成时间、最迟完成时间、最迟开始时间、总时差和自由时差。
1.节点最早时间
节点最早时间是指在双代号网络计划中,以该节点为开始节点的各项工作的最早开始时间。
2.节点最迟时间
节点最迟时间是指在双代号网络计划中,以该节点为完成节点的各项工作的最迟完成时间。
按工作计算法
所谓按工作计算法,就是以网络计划中的工作为对象,直接计算各项工作的时间参这些时间参数包括:工作的最早开始时间和最早完成时间、工作的最迟开始时间和最完成时间、工作的总时差和自由时差。此外,还应计算网络计划的计算工期。
按节点计算法
所谓按节点计算法,就是先计算网络计划中各个节点的最早时间和最迟时间,然后再据此计算各项工作的时间参数和网络计划的计算工期。
标号法是一种快速寻求网络计划计算工期和关键线路的方法。标号法利用按节点计算法的基本原理,对网络计划中的每一个节点进行标号,然后利用标号值确定网络计划的计算工期和关键线路。
拒绝盲目备考,加学习群领资料共同进步!

免费听
唐忍
分数收割机
主讲:合同管理,安全生产法律法规,安全生产法规
优秀安全工程师、监理工程师讲师。善于重点击破晦涩法理点,轻松提升得分。

免费听
王竹梅
考点总结高手
主讲:建设工程造价管理,理论与法规
中国人民大学硕士,多年工程造价咨询实战经验,建设部住宅试点工程“部级科技进步个人银奖”获得者。

免费听
江凌俊
口诀一绝
主讲:目标控制(土木建筑),进度控制(水利),建筑施工安全,建筑工程管理与实务,建筑工程,建筑施工安全
曾在设计院任职,线上线下多年培训行业从业经历。

免费听
梁毛
主讲:案例分析(土木建筑),建筑工程
工程管理证书“大满贯”获得者,一级建造师(建筑/机电)、造价工程师、监理工程师(土建/交通)、二级建造师(建筑/机电/市政)、高级工程师(建筑工程)

免费听
孙媛媛
对课程重难点把握精准,讲授通俗易懂,受到广大学员好评
主讲:目标控制(交通工程),市政专业知识,市政专业实务
监理工程师,高校副教授,参加湖南省土建初中级职称大纲编写及修订。

免费听
李博韬
主讲:投资控制(水利)
长期从事监理水利教学与研究工作,经验丰富,对考试方向有深入研究。能够引导学员从课程和书本中梳理知识脉络并高效备考应试,深受学员喜爱。
专业智能,高效提分
章节练习
章节专项突破
进入做题
精选试题
省时高效精选
进入做题
模拟考场
海量题免费做
进入做题
考前点题
高效锁分72小时
进入做题
每日一练
每天进步一点点
进入做题
历年真题
真题实战演练
进入做题
易错题
精选高频易错题
进入做题
模考大赛
同场闯关做题
进入做题
APP刷题神器
模考大赛
考点打卡
做题闯关

扫描二维码 下载233网校APP刷题
微信扫码关注公众号
获取更多考试资料