在一级建造师《工程经济》考试中,计算考点一直占据很重要的位置,考生们不仅要理解公式概念,还要掌握其计算应用。就2019年的考试为例,计算考点的题目总共有24道,其中单选22道,多选2道,纯计算考题19道,考核计算公式1道,考核公式概念3道,总分26分。
为帮助考生们系统掌握计算考点相关知识,233网校特编写了一建《工程经济》计算考点系列篇章,持续更新中,记得添加收藏哦~

计算考点六:财务净现值分析的计算【考核指数:★★★★★】
【考核年份:2009、2015、2016、2017、2018、2019】
/1/ 财务净现值的计算
一、概念
财务净现值(FNPV)反映技术方案在计算期内盈利能力的动态评价指标;用预定的基准收益率ic把整个计算期间内各年所发生的净现金流量都折现到技术方案开始实施时的净现值之和。
二、计算公式
财务净现值(FNPV)=现金流入现值之和 - 现金流出现值之和

FNPV——财务净现值;
(CI - CO)t——技术方案第t年的净现金流量;
Ic——基准收益率;
n——技术方案计算期。
三、判别条件

四、计算应用
【2019年试题】某技术方案现金流量表如下,基准收益率为8%,该技术方案的财务净现值为( )万元。

A. 208.23
B. 58.23
C. 192.81
D. 347.12
【233网校答案】A
【233网校解析】本题考查“财务净现值的计算”,计算过程分两步。
第一步:计算净现金流量

第二步:计算财务净现值

正确选项为 A 。
/2/ 财务内部收益率分析
一、概念
1、常规技术方案随着折现率的逐渐增大,财务净现值由大变小,由正变负。
2、对常规技术方案而言,财务内部收益率其实质就是使技术方案在计算期内各年净现金流量的现值累计等于零时的折现率。
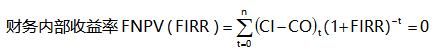
二、数学表达式

三、FNPV与i之间的关系曲线图

四、判别准则

五、计算应用
【2018年试题】某常规技术方案当折现率为10% 时,财务净现值为-360万元;当折现率为8% 时,财务净现值为30万元。则关于该方案经济效果评价的说法,正确的有( )。
A.内部收益率在8%~9%之间
B.当行业基准收益率为8%时,方案可行
C.当行业基准收益率为9%时,方案不可行
D.当折现率为9%时,财务净现值一定大于0
E.当行业基准收益率为10%时,内部收益率小于行业基准收益率
【233网校答案】ABCE
【233网校解析】本题考查“财务内部收益率分析”。
做此类题型,可画出FNPV与i之间的关系曲线图,直观且不易出错。
第一步:画出 FNPV 与 i 的关系曲线图

第二步:计算财务内部收益率i*
假设 i* 到 ic2 之间的距离为 X,则

财务内部收益率为 8.15%,则 A、E 选项正确。
根据判别准则,可知 B、C 选项正确。

根据所画草图,可以直观看出 D 选项错误。
故本题正确选项为 A、B、C、E。
练一练
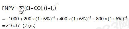
1、【2018年试题,计算财务净现值】某技术方案的净现金流量见下表。若基准收益率为6%,则该方案的财务净现值为( )万元。

A.147.52
B.204.12
C.216.37
D.400.00
本题已知净现金流量,比较简单,直接代入财务净现值的计算公式,计算可得该方案的财务净现值为:
正确选项为 C选项。
2、【2019年试题,财务内部收益率】对某常规技术方案进行现金流量分析,当折现率 10% 时,财务净现值为 900 万;当折现率为 12%时,财务净现值为 16 万元。则该方案财务内部收益率可能的范围是( )。
A. 小于 10%
B. 大于 10%,小于 11%
C. 大于 11%,小于 12%
D. 大于 12%
参考解析:本题考查“财务内部收益率的分析”
解法一:根据概念来解题
随着折现率的逐渐增大,财务净现值由大变小,由正变负。当折现率是 12%时,财务净现值是16万元,所以财务内部收益率是大于 12%的。
解法二:画出 FNPV 与 i 的关系曲线图

从图中可以直观看出,正确选项为 D 选项。



























