2025年贵州二级建造师考试《建设工程施工管理》真题及答案(4.19 不完整版)
第1题 单项选择题 (每题1分,共60题,共60分)
1、在项目投资决策阶段形成的工程造价是( )
A.竣工结算
B.设计概算
C.施工图预算
D.投资估算
参考解析:在项目投资决策阶段,为了确定项目的可行性,需要进行投资估算。投资估算是对项目总投资的初步预测,用于评估项目的经济可行性和投资效益。它是项目建议书和可行性研究报告的重要组成部分。

2、更换项目经理需要在( )天内通知监理。
A.7天
B.28天
C.21天
D.14天
参考解析:承包人更换项目经理应事先征得建设单位同意,并应在更换14天前通知发包人和监理人。
3、以下各项中不属于施工组织总设计内容的是( )。
A.总体施工部署
B.施工的方法和工艺要求
C.施工总进度计划
D.工程概况
参考解析:施工组织总设计的基本内容包括:工程概况、总体施工部署、施工总进度计划、总体施工准备与主要资源配置计划、主要施工方法和施工总平面布置等。
B选项的施工的方法和工艺要求是施工方案中的具体内容,而不是施工组织总设计的内容。
4、施工单位在( )后,立即成立领导小组。
A.签订施工合同
B.获取招标文件
C.递交招标文件
D.接到中标通知书
参考解析:施工单位一旦接到中标通知书,应马上成立策划领导小组。
5、潜在投标人对投标资格预审文件有异议的,应该在提交资格预审文件截止时间( )前提出。
A.10日
B.5日
C.2日
D.15日
参考解析:潜在投标人或者其他利害关系人对资格预审文件有异议的,应在提交资格预审申请文件截止时间2日前向招标人提出。
6、履约保证金不得超过中标合同金额的( )。
A.5%
B.10%
C.7%
D.2%
参考解析:招标文件要求中标人提交履约保证金的,中标人应按照招标文件的要求提交。履约保证金不得超过中标合同金额的10%。
7、下列合同文件中,具有优先解释权的是( )。
A.合同协议书
B.投标函
C.中标通知书
D.图纸
参考解析:除专用合同条款另有约定外,解释合同文件的优先顺序如下:①合同协议书;②中标通知书;③投标函及投标函附录;④专用合同条款;⑤通用合同条款;⑥技术标准和要求;⑦图纸;⑧已标价工程量清单;⑨其他合同文件。
8、风险规避策略适用于( )。
A.风险因素发生的概率低,且造成的损失小
B.风险因素发生的概率高,且造成的损失小
C.风险因素发生的概率低,且造成的损失大
D.风险因素发生的概率高,且造成的损失大
参考解析:风险规避策略通常适用于以下两种情形:一是某种风险因素发生的概率较高,且会造成相当大的损失;二是采用其他风险应对策略的代价昂贵,得不偿失。
9、以下事项属于风险评估阶段内容的是( )。
A.确定风险等级
B.收集与施工风险有关的信息
C.确定风险应对策略
D.编制项目风险识别报告
参考解析:风险评估内容主要包括:①风险因素发生的概率;②风险损失量;③风险等级。
10、在双代号网络图中,虚工作的特征是( )。
A.消耗时间,也消耗资源
B.不消耗时间,但消耗资源
C.只消耗时间,不消耗资源
D.既不消耗时间,也不消耗资源
参考解析:在双代号网络图中,有时存在虚箭线,虚箭线不代表实际工作,称为虚工作。虚工作既不消耗时间,也不消耗资源。虚工作主要用来表示相邻两项工作之间的逻辑关系。此外,为了避免两项同时开始、同时进行的工作具有相同的开始节点和完成节点,也需要用虚工作加以区分。
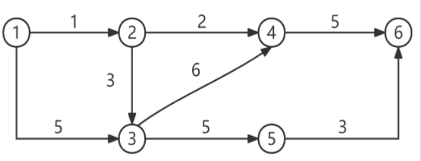
11、某双代号网络图如下,其关键线路是( )。

A.①→③→④→⑥
B.①→②→③→④→⑥
C.①→③→⑤→⑥
D.①→②→③→④→⑥
参考解析:A选项,①→③→④→⑥持续时间16天;
B选项,①→②→③→④→⑥持续时间15天;
C选项,①→③→⑤→⑥持续时间13天;
D选项,①→②→③→④→⑥持续时间15天;
A选项时间最长,为关键线路。
12、在双代号时标网络图中,实际进度前锋线用( )绘制。
A.虚线
B.实箭线
C.波行线
D.点划线
参考解析:实际进度前锋线是指在施工进度时标网络计划中,从实际进度检查时刻的时标点出发,用点划线依次将各项工作实际进展位置点连接而成的折线。
13、影响工程质量因素很多,其中施工所依据的规范规程属于( )。
A.质量检测环境因素
B.管理环境因素
C.自然环境因素
D.技术环境因素
参考解析:环境因素有很多,主要指自然环境、技术环境和管理环境。
自然环境包括地质、水文、气象条件和周边建筑、地下障碍物及其他不可抗力等因素;
技术环境包括施工所依据的规范、规程、设计图纸、质量评价标准等因素;
管理环境包括质量检验、监控制度、质量管理制度等。
14、以下施工质量检验方法中,不属于物理检验方法的是( )。
A.电性能检测法
B.质量检测法
C.机械性能检测法
D.感官检验法
参考解析:物理检验法是指利用物理原理借助各种检测工具和仪器设备对施工质量进行检验的方法。物理检验法是一种在施工质量检验中被广泛应用的重要方法,包括度量检测、电性能检测、机械性能检测和无损检测等。
15、钢结构漏焊严重,应采用施工质量统计分析方法是( )。
A.相关图法
B.因果分析图法
C.调查表法
D.排列图法
参考解析:因果分析图又称为质量特性因果图、鱼剌图或树枝图,是一种反映质量特性与质量缺陷产生原因之间关系的图形工具,可用来分析、追溯质量缺陷产生的最根本原因。
16、某混凝土结构受到撞击,经鉴定不影响使用和外观,可进行( )。
A.返工处理
B.返修处理
C.限制使用
D.加固处理
参考解析:返修处理:当工程某些部分的质量虽未达到规范、标准或设计规定的要求,存在一定缺陷,但经过返修后可以达到要求的质量标准,又不影响使用功能或外观要求时,可采取返修处理的方法。例如,某些混凝土结构表面出现蜂窝、麻面,经调查分析,该部位经返修处理后,不会影响其使用及外观;对混凝土结构局部出现的损伤,如结构受撞击、局部未振实、冻害、火灾、酸类腐蚀、碱集料反应等,当这些损伤仅仅在结构的表面或局部,不影响其使用和外观,可进行返修处理。
17、不属于施工机具设备成本影响的是( )。
A.维护费用
B.购置费用
C.租赁费用
D.燃料费用
参考解析:施工机具设备成本主要受以下几个方面的影响:
1.租赁费用:使用大型设备或特殊设备时,租赁费用可能较高,特别是设备使用时间较长的情况下。
2.维护费用:设备的日常维护和保养需要投入成本,包括定期检查、维修和更换零部件等。
3.燃料费用:燃料价格的波动会影响使用设备的成本。故本题选B。
18、不属于施工责任成本的是( )。
A.措施费
B.税金
C.专业分包费
D.人工费
参考解析:施工责任成本由以下几部分组成:人工费、材料费、施工机具使用费、专业分包费、措施费、间接费、其他费用组成。
19、职业建康安全管理评审体系一般( )。
A.每年一次
B.每半年一次
C.每季度一次
D.每两年一次
参考解析:管理评审通过年度计划安排,一般每年进行一次,也可随着内外部条件的变化而及时进行管理评审。
20、“3R”原则中不包括( )。
A.减量化
B.再利用
C.再循环
D.经济性
参考解析:循环经济的“3R”原则,即“减量化”(Reduce)、“再利用”(Reuse)、“再循环”(Recycle),是绿色施工需遵循的重要原则。
21、施工现场文明施工的说法,正确的是( )
A.主要场地应硬化
B.要设置半封闭的围墙
C.高度不低于2.0m
D.专职安全员是现场文明施工第一责任人
参考解析:B选项错误,C选项错误,施工现场应采用封闭围挡,围挡的高度不应低于1.8米。
D选项错误,施工现场文明施工的第一责任人通常是项目经理。






























