第四部分证券估值主要落脚点在各类证券的估值方法和计算上,第八章股票主要讲了两种股票估值方法,相对估值法和绝对估值法。在考试中本章地位很高,尤其是容易出计算题。
| 本文导航 | ||
| 收藏知识结构图,自我检测 | 学习笔记 | 真题演练,现在开始做 |
一、收藏知识结构图、自我检测

二、学习笔记
1、现金流贴现法的原理:运用收入的资本化定价方法来决定普通股票内在价值的方法。
2、红利增长模型
基本公式:大多数人投资股票的目的主要是获取支付的红利以及买卖差价,预期现金流即为未来支付的股息以及未来的卖出价格。贴现现金流的一般公式为:

V=期初内在价值;Dt=时期t末以现金形式表示的每股股息;K为一定风险程度下现金流的适合贴现率(必要收益率)。
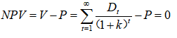
净现值(NPV):
P:在t=0时购买股票的成本
内部收益率:指使得投资净现值等于零的贴现率。K*代表内部收益率。

,将K*与具有同等风险水平股票的必要收益率K相比较,若K*>K,此股票可以考虑购买;若K*<K,则不建议购买。
| 模型 | 含义 | 公式 | 内部收益率 |
| 零增长模型 | 假定股息增长率等于零,即g=0。即未来股息按固定数量支付 | V=D0/k V=股票内在价值,D0=未来每期支付的每股股息,K=必要收益率 | P=D0/K*, K*=100%(D0/P) |
| 不变增长模型 | 股息按不变的增长率增长【常见】 股息以固定不变的绝对值增长 | 股息按不变的增长率增长 V=D1/(k-g) | P=D0(1+g)/K*-g) K*=100%(D0/P+g) |
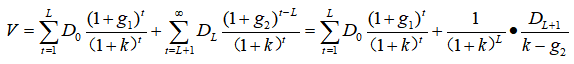
| 可变增长模型 | 将各个阶段相加,二阶段增长模型:假定时间L以前,股息以g1速度增长,时间L以后,股息以g2速度增长。可建立二阶段可变增长模型:
| ||
3、自由现金流贴现模型
自由现金流量含义:企业产生的,在满足了再投资需要之后剩余的现金流量,是在不影响公司持续发展的前提下可供分配给企业资本供应者(股东和债权人)的最大现金额。
企业自由现金流贴现模型(FCFF)和股东自由现金流贴现模型(FCFE)的计算步骤
| 企业自由现金流贴现模型 | |
| 计算 | ![]() ![]() |
| 贴现率 | 采用企业加权平均成本(WACC)为贴现率
|
| 步骤 | 根据预期企业自由现金流数值,用加权平均资本作为贴现率,计算企业总价值。 |
| 股东自由现金流贴现模型 | |
| 计算 | ![]() |
| 贴现率 | 采用股东要求的必要回报率为贴现率 |
| 步骤 | 计算未来各期期望FCFE,确定股东要求的必要回报率,作为贴现率计算企业的权益价值VE,进而计算出股票的内在价值。 |
4、股权资本成本与公司整体平均资金成本(WACC)的概念
股权资本成本:投资者投资企业股权时所要的收益率;
整体平均资金成本:指企业以各种资本在企业全部资本中所占的比重为权数,对各种长期资金的资本成本加权平均计算出来的资本总成本。

Re=股权成本;Rd=债务成本;E=公司股本的市场价值;D=公司债务的市场价值;V=E+D;Tc=企业税率;E/V=股本占融资总额的百分比;D/V=债务占融资总额的百分比。
5、资本资产定价模型
资本市场线、证券市场线的方程与参数
| 资本市场线 | 证券市场线 | |
| 方程 |
E(rM)、σM=市场组合M的期望收益率和标准差; rF为无风险证券收益率 | E(rp)=rF+[E(rM)-rF]βp |
| 参数 | ①无风险利率r,由时间创造的,是对放弃即期消费的补偿; ②风险溢价 ,是对承担风险σp的补偿,与承担风险大小成正比。其中 代表对单位风险的补偿,通常称之为风险的价格。 | ①无风险利率r,由时间创造的,是对放弃即期消费的补偿; ②风险溢价E(rp)=rF+[E(rM)-rF]βp,是对承担风险的补偿,它与承担的风险βp的大小成正比。其中E(rM)-rF代表对单位风险的补偿,通常称之为风险的价格。 |
三、真题演练,现在开始做
1、资本资产定价模型表明资产i的收益由( )组成。
Ⅰ.无风险收益率
Ⅱ.市场收益率为零时资产i的预期收益率
Ⅲ.资产i依赖于市场收益变化的部分
Ⅳ.资产收益中不能被指数解释的部分
A.Ⅰ、Ⅱ、Ⅲ、Ⅳ
B.Ⅰ、Ⅱ、Ⅳ
C.Ⅰ、Ⅲ、Ⅳ
D.Ⅰ、Ⅲ
【233网校解析】根据资本资产定价模型,单个证券的期望收益率无风险利率和风险溢价两个部分构成。







,是对承担风险σp的补偿,与承担风险大小成正比。其中
代表对单位风险的补偿,通常称之为风险的价格。























