第2题 多项选择题 (每题2分,共20题,共40分)
40、与施工总承包模式相比,施工总承包管理模式的特点有( )。
A.业主可与分包单位直接签订合同
B.施工总承包管理单位不赚取总包与分包之间差价
C.施工分包单位的工程款可由业主直接支付
D.业主可直接确定施工分包单位
E.施工总承包管理单位不承揽工程施工任务
参考解析:与施工总承包相比,施工总承包管理具有以下特点:
A选项:在通常情况下,分包单位由业主通过招标选择, 并由业主与分包单位直接签订合同。
B选项:施工总承包管理单位只收取总包管理费,不赚取总包与分包之间的差价。
C选项:对于各分包单位的工程款,可以通过施工总承包管理单位支付,也可由业主直接支付。
D选项:无论是业主选定的分包单位,还是由业主授权施工总承包管理单位选定的分包单位,都必须接受施工总承包管理单位的工作指令,服从其组织和指挥。
E选项:对于有施工能力的施工总承包管理单位,也可通过投标竞争承揽部分工程施工任务。
41、施工项目实施策划书应包括( )。
A.分包工程招标方式
B.施工特点和重难点
C.施工项目管理机构设置
D.物资采购与供应方案
E.施工索赔处理程序
参考解析:项目实施策划书应包括以下主要内容:
(1)工程概况。包括:工程水文地质情况;工程分布;重点工程情况;施工特点和重难点;工程数量等。
(2)施工项目管理目标及管理要求。
(3)施工项目管理机构设置。
(4)施工任务划分及队伍部署。
(5)施工组织设计及主要施工方案建议。
(6)临时工程。
(7)主要资源调配。
(8)物资采购与供应。
(9)工程试验检测。
(10)工程测量管理方案。
(11)施工项目科技研发计划和工作安排。
42、下列施工项目目标控制工作内容中,属于事中过程控制的有( )。
A.监督检查实施情况
B.分析偏差产生的原因
C.分析各种实施风险
D.采取纠偏措施
E.计划与实际对比分析
参考解析:

43、根据《标准设备采购招标文件》合同设备支付后进行开箱检验的主要内容有( )。
A.设备内部缺陷
B.设备数量
C.设备性能
D.设备外观
E.设备运行效率
参考解析:合同设备交付后应进行开箱检验,即合同设备数量及外观检验。
44、建设工程组织流水施工时,用以表达施工工艺方面进展状态的参数(工艺参数)有( )
A.流水强度
B.施工过程
C.施工段
D.流水节拍
E.工作面
参考解析:工艺参数是指在组织流水施工时,用以表达流水施工在施工工艺方面进展状态的参数,通常包括施工过程和流水强度两个参数。
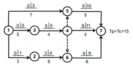
45、某工程双代号网络计划如图所示:图中箭线上方数字依次为相应工作的最早开始时间和最迟开始时间,该网络计划显示的正确信息有( )

A.工作1-5的总时差为3
B.工作1-2的自由时差为1
C.工作3-4为关键工作
D.工作2-6的总时差为1
E.工作5-7为关键工作
参考解析:自由时差=紧后工作的最早开始时间-该工作的最早完成时间=3-3=0,故B选项错误;
关键线路为1-3-4-6-7,5-7不在此线路上不是关键工作,故E选项错误。
46、施工企业质量管理体系策划与设计阶段需要进行的工作有( )。
A.进行教育培训
B.编制质量手册
C.调整组织结构
D.制定质量目标
E.提出质量管理体系认证申请
参考解析:质量管理体系策划与设计:
(1)教育培训,统一认识。
(2)组织落实,拟定计划。
(3)确定质量方针,制定质量目标。
(4)现状调查和分析。
(5)调整组织结构,配备资源。
47、施工质量抽样检验工作中,与计量抽样检验相比,计数抽样检验的优点有( )
A.所需样本量较小
B.样本信息利用充分
C.使用简便
D.运用范围广泛
E.检验结果可信度高
参考解析:计数抽样检验具有使用简便、运用范围广泛等优点。缺点是所需要的样本量较大, 样本信息利用也不充分。计量抽样检验具有信息利用充分、需要的样本量较小等优点。
缺点是使用程序较繁琐,适用范围较窄。
48、采用关键绩效指标法考核施工成本管理绩效的优点有( )
A.实施容易
B.适用范围广
C.明确管理焦点
D.提高管理成效
E.提高考核客观性
参考解析:关键绩效指标的优点如下:①明确管理焦点。②提高管理成效。③提高考核客观性。缺点如下: ① 指标难界定且缺乏弹性。②适用范围有限。③实施困难。
49、根据安全生产费用管理相关规定,施工企业安全生产费用的用途有( )。
A.完善施工现场临时用电系统支出
B.专职安全生产管理人员薪酬
C.从业人员报告事故隐患的奖励
D.特种设备检测检验支出
E.特种作业人员补贴
参考解析:建设工程施工企业安全生产费用应用于以下支出:
(1)完善、改造和维护安全防护设施设备支出(不含“三同时”要求初期投入的安全设施)。
(2)应急救援技术装备、设施配置及维护保养支出,事故逃生和紧急避难设施设备的配置和应急救援队伍建设、应急预案制修订与应急演练支出。
(3)开展施工现场重大危险源检测、评估、监控支出,安全风险分级管控和事故隐患排查整改支出,工程项目安全生产信息化建设、运维和网络安全支出。
(4)安全生产检查、评估评价(不含新建、改建、扩建项目安全评价)、咨询和标准化建设支出。
(5)配备和更新现场作业人员安全防护用品支出。
(6)安全生产宣传、教育、培训和从业人员发现并报告事故隐患的奖励支出。
(7)安全生产适用的新技术、新标准、新工艺、新装备的推广应用支出。
(8)安全设施及特种设备检测检验、检定校准支出。
(9)安全生产责任保险支出。
50、根据《建设工程安全生产管理条例》,针对危险性较大的分部分项工程编制的专项施工方案必须经( )签字后方可实施。
A.施工单位技术负责人
B.监理单位技术负责人
C.总监理工程师
D.施工项目经理
E.专项施工方案论证专家
参考解析:专项施工方案应由施工单位技术负责人审核签字、加盖单位公章,并由总监理工程师审查签字、加盖执业印章后方可实施。
51、下列施工现场防火做法中,满足相关要求的有( )。
A.易燃易爆危险品库房与在建工程的防火间距超过10m
B.将消防相关条件纳入施工总平面布局
C.消火栓泵专用配电线路自施工现场二级配电箱接入
D.在现场不同方向设置2个满足消防车通行出入口
E.固定动火作业场所与在建工程的防火间距超过10m
参考解析:A选项:易燃易爆危险品库房与在建工程的防火间距不应小于15m。
B选项:将消防相关条件纳入施工总平面布局。
C选项:施工现场的消火栓泵应采用专用消防配电线路,专用消防配电线 路应自施工现场总配电箱的总断路器上端接入,且应保持不间断供电
D选项:施工现场出入口的设置应满足消防车通行的要求,并 宜布置在不同方向,其数量不宜少于2个。当确有困难只能设置1个出入口时,应在施 工现场内设置满足消防车通行的环形道路。
E选项:可燃材料堆场及其加工场、固定动火作业场与在建工程的防火间距不应小于10m。
52、《建设工程文件归档规范》施工单位必须归档保存的施工记录文件有( )。
A.图纸会审记录
B.工程定位测量记录
C.工程洽商记录
D.隐蔽工程验收记录
E.沉降观测记录
参考解析:































