(一)利率期限结构
在某一时点上,不同期限债券的收益率和到期期限之间的关系。
(二)债券收益率曲线
将利率期限结构在以期限为横坐标、收益率为纵坐标的直角坐标系上表示出来,就得到收益率曲线。
(三)收益率曲线基本类型
1.上升收益率曲线:也叫正向收益率曲线,其期限结构特征是短期债券收益率较低,而长期债券收益率较高。是最常见的形态。
2.反转收益率曲线:期限结构特征是短期债券收益率较高,而长期债券收益率较低。
3.水平收益率曲线:期限结构特征是长短期债券收益率基本相等。
4.拱形收益率曲线:期限结构特征是,期限相对较短的债券,利率与期限成正向关系,而期限相对较长的债券,利率与期限呈反向关系。

(一)信用利差的概念
信用利差指除了信用评级不同外,其余条件全部相同的两种债券收益率的差额。
一般而言, 投资者会要求更高的收益来补偿较高的违约风险,即违约风险越高,投资收益率也应该越高。
(二)信用利差的特点
1.对于给定的非政府部门的债券、给定的信用评级,信用利差随着期限增加而扩大。
2.信用利差随着经济周期(商业周期)的扩张而缩小,随着经济周期(商业周期)的收缩而扩张。
3.信用利差的变化本质上是市场风险偏好的变化,受经济预期影响。信用利差的变化一般发生在经济周期发生转换前,因此,信用利差可以作为预测经济周期活动的参考指标。
一、货币市场工具的定义及特点
1.货币市场工具定义
货币市场工具通常指具备高流动性、低风险特征的短期金融工具,其期限一般在一年以内,具体包括回购协议、定期存款、商业票据、银行承兑汇票、短期国债、中央银行票据等。
2.货币市场的特点
(1)均是债务契约;
(2)期限在1年以内(含1年) ;
(3)流动性高;
(4)大宗交易,主要由机构投资者参与,个人投资者很少有机会参与买卖;
(5)本金安全性高,风险较低。
|
分类 |
内容 |
|
|
利率债 |
由中央和地方政府、三大政策性银行等具有国家背景的机构发行,几乎不存在信用风险。 对市场利率变动敏感性高,通常来说,市场利率上升,债券价格下降。 |
|
|
|
1.政府债券 |
(1)国债是财政部代表中央政府发行的债券。国债具有安全性高、流动性强、收益稳定、享受免税待遇特点,可分为记账式国债和储蓄国债。 |
|
|
2.中央银行票据 |
发行主体为中国人民银行,是为调节货币供应量主要面向商业银行(一级交易商)发行的短期债务凭证。期限一般≤1年,但也有长至3年的品种。 |
|
|
3.政策性金融债 |
由国家开发银行、中国进出口银行和中国农业发展银行三家政策性银行发行的 政策性金融债主要用于国家重大基础设施建设、促进经济发展和调节金融市场等政策目标。 |
|
|
4.政府支持机构债券 |
由政府支持的机构发行。 不直接由政府发行,但由于有政府背景,其信用风险较低。 |
|
信用债 |
1.商业银行债券 |
由境内设立的商业银行法人发行,包括商业银行发行的普通金融债和为满足巴塞尔协议发行的次级债和混合资本债等。 可分为一般金融债券、小微企业贷款专项债、“三农”专项金融债、次级债券、二级资本债券、无固定期限资本债券等品种。 |
|
|
2.非银行金融机构债券 |
发行主体为境内设立的非银行金融机构法人。 主要有证券公司债(普通债、永续债、次级债、短期融资券)、保险公司债(普通债、永续债、资本补充债)、财务公司债、租赁公司债等。 |
|
|
3.特种金融债 |
指经中国人民银行批准,由部分金融机构发行的,所筹集的资金专门用于偿还不规范证券回购债务的有价证券。 |
|
|
4.公司债券(含企业债券) |
(1)公司债,是指公司依照法定程序发行、约定在一定期限还本付息的有价证券。 (2)企业债是由中央政府部门所属机构、国有独资企业或国有控股企业发行的债券,发债主体的信用级别较高。 |
|
|
5.非金融企业债务融资工具 |
中国银行间交易商协会主导的一些企业债务融资工具,主要包括中期票据(MTN)、短期融资券(CP)、超短期融资券(SCP)、定向工具(PPN)、中小企业集合票据、资产支持票据(ABN)、定向工具以及项目收益票据(PRN)等。 |
|
|
6.资产支持证券(ABS) |
通过将基础资产(如信贷资产、企业应收账款等)证券化,从而获取融资的工具。 我国的资产支持证券主要包括信贷资产支持证券、企业资产支持证券、资产支持票据和不动产信托资产支持票据等。 |
|
|
7.熊猫债券 |
境外机构在我国境内发行的人民币债券,包括主权类机构、国外开发机构、金融机构和非金融企业等。 |
|
|
8.城投债 |
指地方政府融资平台或政府控制的企业发行的债券,通常用于地方基础设施和公用事业建设。 |
贴现现金流(DCF)估值法:任何资产的内在价值等于投资者对持有该资产预期未来现金流的现值。


P=市场价格;C=每期支付的利息;n=时期数;M表示债券面值。
3.到期收益率的影响因素:
(1)票面利率:与债券到期收益率呈同方向增减。
(2)债券市场价格:与到期收益率呈反方向增减。
(3)再投资收益率:在市场利率波动的情况下,再投资收益率可能不会维持不变,会影响投资者实际的持有到期收益率。
4.债券当期收益率与到期收益率之间的关系
(1)债券市场价格越接近债券面值,期限越长,则其当期收益率就越接近到期收益率。
(2)债券市场价格越偏离债券面值,期限越短,则当期收益率就越偏离到期收益率。
(3)不论当期收益率与到期收益率近似程度如何,当期收益率的变动总是预示着到期收益率的同向变动。
久期和凸性是衡量债券价格对利率变化敏感性的两个关键指标。
1.久期:债券本息所有现金流的加权平均到期时间,即债券投资者收回其全部本金和利息的平均时间。
修正的麦考利久期Dmod=麦考利久期Dmac÷(1+y)。
• 对于零息债券,其久期等于到期期限;
• 对于附息债券,在债券到期之前的每次付息都会缩短加权平均到期时间,因此付息时间的提前或者付息金额的增加都会使债券的久期缩短。
• 修正久期衡量的是市场利率变动时,债券价格变动的百分比。
2.凸性
债券价格随利率的变化关系是非线性的。下图表示的是债券价格(P)与到期收益率(y) 之间的关系曲线。该曲线是凸向原点的,这个曲线的曲率就是债券的凸性。

1.技术分析概念
通过分析价格变动、成交量、图形走势以及由历史数据衍生的技术指标来推测未来价格的变动趋势。
2.技术分析六大前提假设
①市场行为涵盖一切信息。
②价格沿趋势移动。
③历史会重演。
④市场以群体心理为驱动。
⑤价格走势并非随机。
⑥供需关系决定价格。
3.常用技术分析方法
|
技术分析方法 |
内容 |
|
道氏理论 |
六大基本原则: |
|
波浪理论 |
将价格波动分为五个主要的推动浪和三个次要的调整浪 |
|
K线分析 |
“蜡烛图”“阴阳烛” |
|
相对强度分析 |
相对强度分析者通常建议购买近期表现强于大盘的股票,而避免或考虑卖空表现弱于大盘的股票。 |
|
量价分析 |
当一只股票(或大盘指数)放量上涨或者呈现价升量增的态势时,则表明买方意愿强烈,股票有望再续升势;相反,如果一只股票(或大盘指数)放量下跌,则表明卖压较为沉重,发出空头信号。 |
1.股票的价值
|
类型 |
内容 |
|
票面价值 |
股票面值,它是股份有限公司在其所发行的股票上标明的票面金额 以面值发行称为平价发行,发行价格高于面值称为溢价发行。 |
|
账面价值 |
又称“股票净值”或“每股净资产”,是每股股票所代表的实际资产的价值。 |
|
清算价值 |
股份有限公司进行清算时,股票的每一股份所代表的实际价值。 大多数公司股票的清算价值低于其账面价值。 |
|
市场价值 |
股票的市值,指股票在股票市场进行交易过程中所具有的价值。 |
|
内在价值 |
为对其未来预期产生的现金流(例如股利或自由现金流)以适当的贴现率进行折现后的现值总和。 股票的内在价值决定股票的市场价格,股票的市场价格总是围绕其内在价值波动。 |
2.市场价格和内在价值的关系
股票的市场价格是由市场供求关系所决定的,不仅受资产内在价值与未来价值因素的影响,还可能受市场情绪的影响。

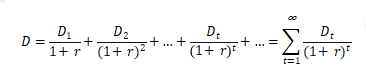
1.股利贴现模型(DDM)
假定股利是投资者在正常条件下投资股票所直接获得的唯一现金流,则就可以建立估值模型对普通股进行估值。

式中: D表示普通股内在价值;Dt表示普通股第t期支付的股利;r表示贴现率,又称资本化率。
可以分为:零增长模型、不变增长模型、三阶段增长模型和多元增长模型。
2.股权自由现金流(FCFE)贴现模型
在公司用于投资、营运资金和债务融资成本之后可以被股东利用的现金流,它是公司支付所有营运费用、再投资支出、所得税和净债务(即利息、本金支付减发行新债务的净额)后可分配给公司股东的剩余现金流量。
FCFE=净利润+折旧与摊销-资本性支出-净营运资本增加额-债务本金偿还+新发行债务
FCFE贴现模型的基本原理,是将预期的未来股权活动现金流用相应的股权要求回报率折现到当前价值来计算公司股票价值。
其计算公式为:

式中: V表示公司价值;FCFF表示公司t期的自由现金流;WACC表示加权平均资本成本,即债务资本价值与股本价值之和。
WACC=权益占比×股权折现率+债务占比×债务综合利率
FCFF=EBIT×(1-有效税率)+折旧-资本性支出-净营运资本增加额
式中:EBIT为税息前利润。
|
相对估值模型 |
内容 |
|
市盈率模型 |
市盈率(P/E)=每股价格/每股收益=股票市值/净利润 当公司的收益或预期收益为负值时,市盈率无效。 当投资者保持乐观态度时,收益乘数较高,市场价格也较高;当投资者持悲观态度时,收益乘数较低,市场价格也较低。 |
|
市净率模型 |
市净率(P/B)=每股价格/每股净资产=股票市值/净资产 (1)每股净资产通常是一个累积的正值,因此市净率也适用于经营暂时陷入困难的甚至有破产风险的公司; (2)统计学证明每股净资产普遍比每股收益稳定得多; (3)市净率尤其适用于公司股本的市场价值很大程度上与其有形账面价值相关的行业,如银行、房地产公司。 |
|
市现率模型 |
市现率(P/CF)=每股价格/每股现金流量=股票市值/现金流量 因盈利易操纵而现金流价值不易操纵,故越来越多被采用 |
|
市销率模型 |
市销率(P/S)=每股价格/每股营业收入=股票市值/营业收入 价值导向型的基金经理选择的范围:“每股价格/每股销售收入” 克服市盈率等指标的局限性,有助于考察公司收益基础的稳定性和可靠性,有效把握其收益的质量水平 |
|
企业价值倍数 |
企业价值倍数(EV/EBITDA)=企业价值/企业折旧及摊销前的收益 其中,企业价值(EV)=市值+优先股+总负债+少数股东权益-现金及现金等价物 EBITDA=净利润+所得税+利息+折旧+摊销=EBIT+折旧+摊销 EV/EBITDA较P/E有明显优势: (1)由于不受所得税率不同的影响,使得不同国家和市场的上市公司估值更具可比性; (2)不受资本结构不同的影响,公司对资本结构的改变不会影响估值,同样有利于比较不同公司的估值水平; (3)排除了折旧、摊销这些非现金成本的影响(现金比账面利润重要),可以更准确地反映公司价值 但EVEBITDA更适用于单一业务或子公司较少的公司估值。 |
|
分类依据 |
内容 |
|
|
发行主体 |
政府债券 |
中央政府、地方政府为筹集资金而向投资者出具并承诺在一定时期支付利息和偿还本金的债务凭证,它以政府的信用作为保证,因而通常无需抵押品,其风险在各类债券中最低。 分为国债、市政债券和政府机构债券,其中国债收益率通常作为无风险利率的替代。 |
|
|
金融债券 |
由银行和其他金融机构作为主体为筹措资金而面向金融机构或资管产品发行的一种有价证券,是表明债务、债权关系的一种凭证。 包括政策性金融债、商业银行债券、特种金融债券、非银行金融机构债券、证券公司债、证券公司短期融资券等。 |
|
|
公司债券 |
公司为筹措资金而发行的债券。 |
|
偿还期限 |
短期债券(<1年)、中期债券(1~5年)、长期债券(5~10年)、超长期(>10年) |
|
|
计息方式 |
固定利率债券 |
由政府和企业发行的主要债券种类,有固定的到期日,并在偿还期内有固定的票面利率和不变的面值。 (1)每年付息一次:每次利息=面值×票面利率 (2)半年付息一次:每次利息=面值×票面利率÷2 |
|
|
浮动利率债券 |
(1)和固定利率债券的主要不同是其票面利率不是固定不变的,而通常与一个基准利率挂钩,在其基础上加上利差(可正可负)以反映不同债券发行人的信用。 (2)浮动利率=基准利率+利差 |
|
|
零息债券 |
(1)和固定利率债券一样有一定的到期期限,但在期间不支付利息,而在到期日一次性支付利息和本金,一般其值为债券面值。 (2)零息债券以低于面值的价格发行,到期日支付的面值和发行时价格的差额即为投资者的收益,也就是折价发行,面额偿付。 |
|
嵌入的条款 |
可赎回债券 |
(1)为发行人提供在债券到期前的特定时段以事先约定价格买回债券的权利。 (2)赎回条款是发行人的权利,是保护债务人而非债权人的条款,对债权人不利。因此,和一个其他属性相同但没有赎回条款的债券相比,可赎回债券的利息更高,以补偿债券持有者面临的债券提早被赎回的风险(赎回风险)。 |
|
|
可回售债券 |
为债券持有者提供在债券到期前的特定时段以事先约定价格将债券回售给发行人的权利。 (1)约定的价格称为回售价格,回售价格通常是债券的面值。 (2)可回售债券的受益人是持有者。因此,和一个其他属性相同但没有回售条款的债券相比,可回售债券的利息更低,因为此条款可降低投资者的价格下跌风险。 |
|
|
可转换债券 |
(1)在一段时间后,持有者有权按约定的转换价格或转换比率将公司债券转换为普通股股票。 (2)对于标准的可转换债券,在价值形态上,可转换债券赋予投资人一个保底收入,即债券息票支付与到期本金偿还构成的普通附息债券的价值;同时,它还赋予了投资人在股票上涨到一定价格的条件下转换成发行人普通股票的权益,即看涨期权的价值。 |
|
|
可交换债券 |
全称为“可交换公司股票的债券”,是指上市公司股份的持有者通过抵押其持有的股票给托管机构进而发行的公司债券,该债券的持有人在将来的某个时期内,能按照债券发行时约定的条件用持有的债券换取发债人抵押的上市公司股权。 |
|
|
通货膨胀联结债券 |
大多数的通货膨胀联结债券的面值(而不是票面利率)在每个支付日会根据某一消费价格指数调整来反映通货膨胀的变化。 |
|
|
结构化债券 |
资产证券化:以其他债券或贷款组成的资产池为支持,构建新型债券产品形式。 主要是住房抵押贷款支持证券(MBS)和资产支持证券(ABS)。 |
|
收益 |
票息收入 |
债券在存续期间,根据其票面利率定期支付给债券持有人的利息。 影响因素:票面利率、付息方式和持有期限 |
|
|
资本利得收入 |
源于二级市场交易价格的波动。 |
|
|
再投资收入 |
债券持有者在持有期得到的利息收入、到期时得到的本息、出售时得到的资本收益等,用来再投资所能实现的收益。 |
|
风险 |
利率风险 |
指利率变动引起债券价格的变化,它是债券投资者所面临的主要风险。 固定利率债券的价格与市场利率呈反向变动关系:市场利率上升时,债券价格下降;而当市场利率下降时,债券价格上升。 浮动利率债券的利息在支付日根据当前市场利率重新设定,其利率风险低于固定利率债券。 |
|
|
通货膨胀风险 |
通货膨胀使得物价上涨,债券持有者获得的利息和本金的购买力下降。 |
|
|
流动性风险 |
未到期债券的持有者无法以市值变现债券形成的投资风险。 一般来说,利率债的流动性好于信用类债券,普通债券流动性好于次级债券、高收益债券。交易不活跃的债券通常有较大的流动性风险。 |
|
|
提前赎回风险 |
又称为回购风险,是指债券发行者在债券到期日前赎回有提前赎回条款的债券所带来的风险,是再投资风险的一种情况。 |
|
|
再投资风险 |
指在市场利率下行的环境中,附息债券收回的利息或者提前于到期日收回的本金,只能以低于原债券到期收益率的利率水平再投资于相同属性的债券而产生的风险。 |
|
|
信用风险 |
又称“违约风险”,是指债券发行人未按照契约的规定支付债券的本金和利息,给债券投资者带来损失的可能性。 国际上知名的独立信用评级机构有三家:穆迪投资者服务公司、标准·普尔评级服务公司、惠誉国际信用评级有限公司。 • 标准普尔和惠誉的BBB-级(含)以上 • 穆迪Baa3级(含)以上 (2)投机级债券:高收益债券或垃圾债券,信用风险较高 • 标准普尔和惠誉的BB+级(含)以下;穆迪Ba1级(含)以下 |
证券i和证券j的收益率相关系数ρij定义为协方差与各自标准差的比值:ρij=σij/σiσj
相关系数的取值范围为-1≤ρij≤1:
(1)ρij=1时,表示ri和rj完全正相关,即它们总是同向变化。
(2)ρij=-1时,表示ri和rj完全负相关,即它们总是反向变化。
(3)ρij=0时,表示ri和rj之间没有线性关系,即零相关。
(4)若0<ρij<1,则ri和rj呈正相关,即一个变量的增加通常伴随着另一个变量的增加
(5)若-1<ρij<0,则ri和rj呈负相关,即一个变量的增加通常伴随着另一个变量的减少。
一、股票的特征
(1)收益性,股票的收益主要有两类:一是股息和红利。二是资本利得。
(2)风险性,持有股票可能产生经济利益损失的特性。
(3)流动性,股票可以依法自由地进行交易的特征。
(4)永久性,股票所载有权利的有效性是始终不变的,因为它是一种无期限的法律凭证。
(5)参与性,股票持有人有权参与公司重大决策的特性。
二、股票的类型
(1)普通股
①收益权:普通股股东享有公司盈余和剩余财产的分配权。
②表决权:普通股股东享有决定公司一切重大事务的决策权。
③通过股东大会来行使,通常是每一股份的股东享有一份表决权,即“一股一票”。
(2)优先股,分为累积优先股和非累积优先股。
①累积优先股:承诺一个固定的股息,任何未支付的股息可以累积起来,今年未支付,由以后财会年度的盈利一起付清。
②非累积优先股:只能按当年盈利分取股息的优先股股票,如果当年公司经营不善而不能分取股息,未分的股息不能予以累积,以后也不能补付。
1.定义:指在一段时期内,持有者有权按照约定的转换价格或转换比率将其转换成普通股股票的公司债券,是一种集债权和股票特点于一体的混合债券。
2.可转债的特征
(1)可转换债券是含有转股权的特殊债券。
(2)可转换债券有双重选择权。
①对于投资者来说,拥有转股权,可自行选择是否转股;
②对于发行人来说,拥有提前赎回的权利。
3.可转债的基本要素
|
基本要素 |
内容 |
|
标的股票 |
一般是发行公司自己的普通股股票。 |
|
票面利率 |
可转换债券作为债券的票面年利率,它一般低于相同条件的普通债券的票面利率,因为可转换债券持有者有特殊的选择权。可转换债券应半年或1年付息1次,到期后5个工作日内应偿还未转股债券的本金及最后一期利息。 |
|
转换期限 |
我国《上市公司证券发行管理办法》规定,可转换债券的期限最短为1年,最长为6年,自发行结束之日起6个月后才能转换为公司股票。 |
|
转换价格 |
转换价格=可转换债券面值/转换比例。 |
|
转换比例 |
转换比例=可转换债券面值/转换价格。 |
|
赎回条款 |
指发行企业有权在约定的条件触发时按照事先约定的价格赎回所发行的可转债的规定。(对发行人有利) |
|
回售条款 |
可转债持有者有权在约定的条件触发时按照事先约定的价格将可转债回卖给发行企业的规定。一般在股票价格下跌超过转换价格一定幅度时生效。(对投资者有利) |
4.可转换债券的价值
可转换债券价值=纯粹债券价值+转换权利价值
①纯粹债券价值:债券利息收入。
②转换权利价值:立即转换成股票的债券价值。
1.宏观经济分析
(1)宏观经济指标
|
宏观经济指标 |
内容 |
|
国内生产总值(GDP) |
衡量一个国家或地区的综合经济状况,指某一特定时期内在本国(或本地区)领土上所生产的产品和提供的劳务的价值总和,是衡量整体经济活动的总量指标。 GDP=C+I+(X-M)+G C代表消费;I代表投资;X代表出口额,M代表进口额,X-M代表净出口;G代表政府支出。 |
|
采购经理指数(PMI) |
衡量制造业在生产、新订单、商品价格、存货、雇员、订单交货、新出口订单和进口八个方面状况的指数。PMI>50%,说明经济较上月走强;PMI<50%,说明经济较上月走弱。 |
|
社会融资规模 |
指一定时期内(每月、每季或每年)实体经济从金融体系获得的全部资金总额,是增量概念。 |
|
通货膨胀 |
采用物价指数,如消费者物价指数(CPI)、生产者物价指数(PPI)、商品价格指数等。 |
|
利率 |
资金成本的主要决定因素。 |
|
汇率 |
直接影响本国产品在国际市场的竞争能力,从而对本国经济增长造成一定影响。 |
|
预算赤字 |
政府支出与政府收入之间的差额。 |
|
失业率 |
评价一个国家或地区失业状况的主要指标。 |
(2)经济周期
复苏、过热、滞胀、衰退四个阶段
(3)宏观经济政策
①财政政策:扩大或缩减财政支出、减税或增税等
②货币政策:公开市场操作、利率水平的调节、存款准备金率的调节。
2.行业分析
(1)行业分类
根据服务对象和目的,主要分为两种:
①为政府管理者服务的管理型分类标准,如国家统计局的国民经济行业分类、中国证监会的行业分类指引、联合国统计司的国际标准产业分类(ISIC)、北美产业分类(NAICS)等等。
②为金融市场投资者服务的投资型分类标准。全球有MSCI和标准普尔共同构建的GICS、富时罗素的ICB。
(2)行业生命周期
|
生命周期 |
特征 |
|
初创期 |
大量的新技术被采用,新产品被研制但尚未大批量生产,销售收入波动较大。 |
|
成长期 |
各项技术逐渐成熟,产品的市场也基本形成并不断扩大。行业特征、竞争状况及用户群体已较为明确,企业进入壁垒提高,产品品种及竞争者数量增多。行业内公司利润开始逐步上升,公司股价逐步上涨。行业的领导者开始出现。 |
|
成熟期 |
产品标准化,市场基本达到饱和,市场份额趋于稳定。产品销售的收入为该行业的公司带来稳定的现金流。由于行业竞争激烈,边际利润逐渐降低,利润增长缓慢甚至停滞。 |
|
衰退期 |
行业的增长速度低于经济增速。行业规模萎缩,主要因产品过时、新产品的竞争或低成本的供应商竞争所致。 |
(3)行业景气度(又称景气指数)
一般来说行业景气度会由于供求格局的变化呈现出比较显著的周期性波动。
3.公司分析
|
信息获取 |
基本信息:查阅上市公司公开的信息披露就可以获得,包括但不限于:定期披露的财务报告、融资预案、董事会公告、股东大会决议、ESG报告、投资者会议资料等。 实地调研 |
|
竞争分析 |
一家公司的竞争壁垒和护城河影响了其长期价值,这些竞争优势体现在牌照垄断、技术领先、组织和文化、规模效应等方面。 |
|
财务分析 |
阅读并分析公司的财务报告,找出关键的财务指标,财务数据能直观反映一家企业的商业模型和核心竞争力。同时也要辨别虚假的会计数据,从金融学的角度对公司行为动机的不同理解,识别并发现报表粉饰业绩的行为。 |
|
企业估值 |
估值是投资者对一家企业内在价值进行评估,是投融资和证券交易的定价基础。 |
|
风险评估 |
内部风险:主要涉及公司治理、战略达成,合规风控、安全生产、关联交易、信息披露等。 外部风险:包括宏观经济、行业周期、技术变革、法律和监管、舆论和社会责任等方面。 |
相同金额的货币在不同时间点上具有不同的价值。通常情况下,现在的一元比未来的一元更有价值,主要原因包括以下几点:
1.机会成本:当前的资金可以立即投资并产生未来收益,因此其价值高于未来的同等金额。
2.通货膨胀:随着时间推移,货币购买力可能下降,导致未来的货币价值缩水。
3.风险:未来的现金流存在不确定性,存在无法按预期收到的风险。
某一段时间的净现金流量是指该时段内现金流量的代数和:
净现金流量=现金流入-现金流出



新人礼包
精编资料